| Сигнализация Tomahawk x5 [сообщение #2020670] |
Срд, 23 Октябрь 2013 20:27  |
|
|
Потерял родной брелок, купил новый, а запрограммировать не могу. Подскажите пожалуйста как отключить сирену, чтоб войти в режим программирования брелоков. Либо подскажите кто занимается сигналками, чтоб помог решить проблему.
[Обновления: Срд, 23 Октябрь 2013 20:33] Известить модератора
|
|
|
|
|
|
|
|
| Re: Сигнализация Tomahawk x5 [сообщение #2020908 является ответом на сообщение #2020893] |
Чтв, 24 Октябрь 2013 15:01   |
Тархан
 Сообщений: 912 Зарегистрирован: Ноябрь 2007
|
Местный |
От: 89.237.45*
|
|
Tolic писал(а) Чтв, 24 Октябрь 2013 14:22в инструкции про это ничего нет
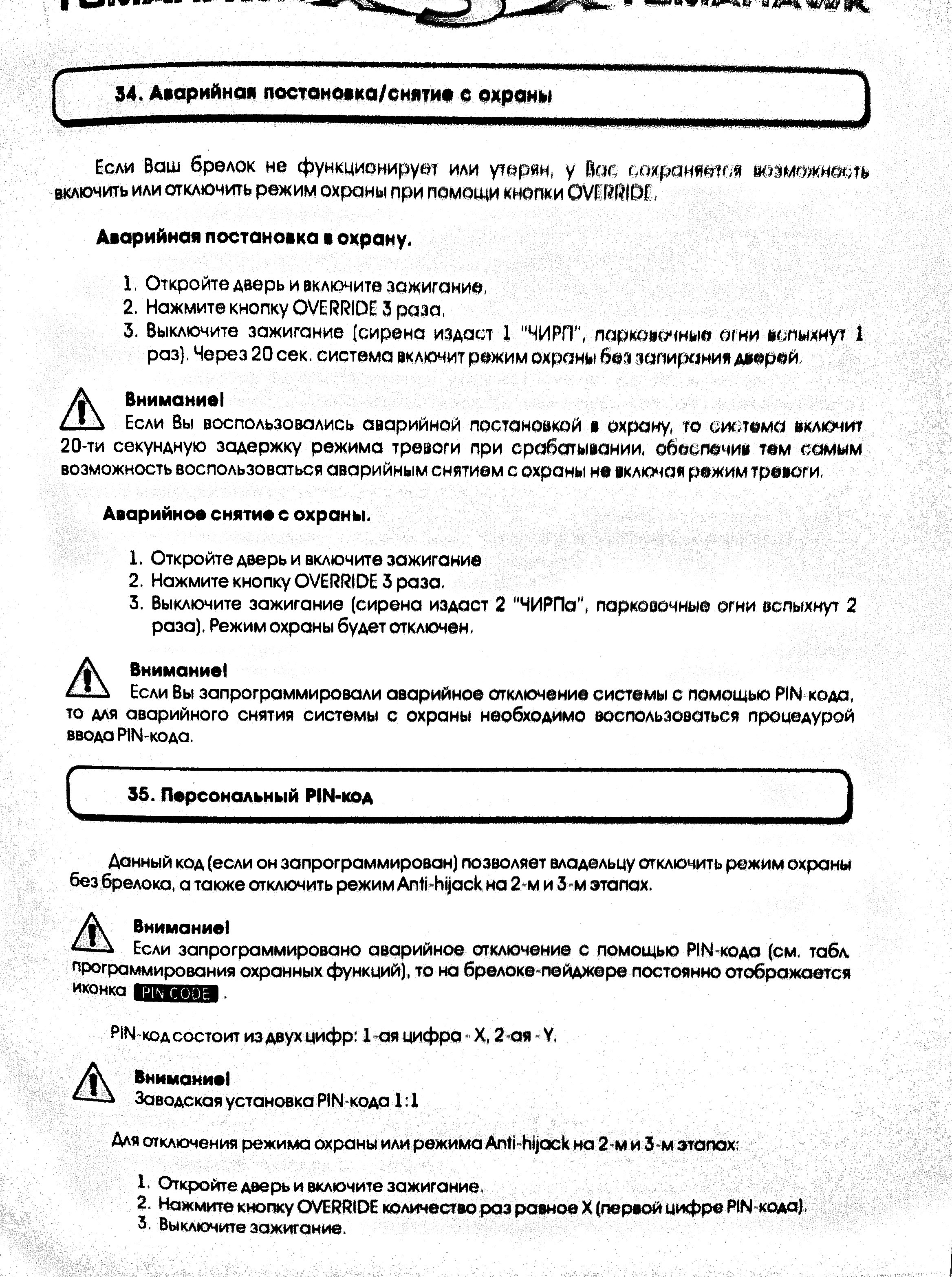
В память основного блока можно записать до 4-х брелоков, для этого необходимо:
1. Выключить зажигание.
2. Нажать кнопку "OVERRIDE" 7 раз.
3. Включить зажигание. Сирена издаст 7 "ЧИРПов" подтверждая вход в режим программирования брелоков.
4. Нажать и удерживать кнопки и нового брелока, пока не услышите "ЧИРПы" сирены, подтверждающие запоминание нового брелока (1 "ЧИРП" для первого, 2 "ЧИРПа" для второго, 3 "ЧИРПа" третьего и 4 "ЧИРПа" для четвертого).
5. Выключите зажигание. Парковочные огни вспыхнут 5 раз, подтверждая выход из режима программирования.
Внимание!
Все утерянные брелоки будут стерты из памяти системы, поэтому процедуре программирования необходимо подвергнуть все брелоки, которые Вы собираетесь использовать в будущем.
Внимание!
Если в течение 10-ти секунд не совершались действия по программированию брелоков, то режим программирования автоматически выключится.
Вот тут инструкция, качай http://www.ugona.net/item647.html
Есть вопросы по ремонту и заправке автокондиционера?
[Обновления: Чтв, 24 Октябрь 2013 15:02] Известить модератора
|
|
|
|
|
|
| Re: Сигнализация Tomahawk x5 [сообщение #2020958 является ответом на сообщение #2020955] |
Чтв, 24 Октябрь 2013 17:58   |
Ivan84
 Сообщений: 176 Зарегистрирован: Июль 2011 Географическое положение: Трехгорный
|
Вхожу во вкус |
От: 217.118.83*
|
|
открой машину ключем и скинь клему с аккумулятора
И ты будешь волков на земле плодить,
И учить их вилять хвостом!
А то, что придется потом платить,
Так ведь это ж, пойми, потом!
[Обновления: Чтв, 24 Октябрь 2013 17:59] Известить модератора
|
|
|
|
|
|
| Re: Сигнализация Tomahawk x5 [сообщение #2020970 является ответом на сообщение #2020670] |
Чтв, 24 Октябрь 2013 18:43   |
DyNaMiTe
 Сообщений: 346 Зарегистрирован: Май 2005
|
Постоялец |
От: 88.205.162*
|
|
если не один брелок на ней не пашет, то снять с охраны можно только по пинкоду кнопкой, который, скорее всего, по умолчанию (указан в мануале), а затем программировать другие брелки.
иначе фик че сделать, я этот х5 както весь перепахал, сигналка классная пока работает, если заглючила, то лучше в утиль.
[Обновления: Чтв, 24 Октябрь 2013 18:47] Известить модератора
|
|
|
|
| Re: Сигнализация Tomahawk x5 [сообщение #2021004 является ответом на сообщение #2020970] |
Чтв, 24 Октябрь 2013 19:36   |
Ivan84
 Сообщений: 176 Зарегистрирован: Июль 2011 Географическое положение: Трехгорный
|
Вхожу во вкус |
От: 217.118.83*
|
|
согласен, ничем не поможет снятие клемы. В инструкции написано, что для аварийного снятия с режима охраны нужно включить зажигание и нажать кнопку "OVERRIDE" 3 раза, это при условии, что не запраграмировано снятие по пин коду, там другой алгоритм.
И ты будешь волков на земле плодить,
И учить их вилять хвостом!
А то, что придется потом платить,
Так ведь это ж, пойми, потом!
|
|
|
|
|
|
| Re: Сигнализация Tomahawk x5 [сообщение #2021084 является ответом на сообщение #2020970] |
Чтв, 24 Октябрь 2013 22:14   |
|
|
DyNaMiTe писал(а) Чтв, 24 Октябрь 2013 18:43если не один брелок на ней не пашет, то снять с охраны можно только по пинкоду кнопкой, который, скорее всего, по умолчанию (указан в мануале), а затем программировать другие брелки.
иначе фик че сделать, я этот х5 както весь перепахал, сигналка классная пока работает, если заглючила, то лучше в утиль.
В том и дело что не заглючила, просто потерял брелок. Щас блокировка отключена и сигналка тоже, при ее подключении она моргает орет, но двери не закрывает и даже завести можно, но программированию не поддается
|
|
|
|
| Re: Сигнализация Tomahawk x5 [сообщение #2021093 является ответом на сообщение #2021084] |
Чтв, 24 Октябрь 2013 22:35   |
Ivan84
 Сообщений: 176 Зарегистрирован: Июль 2011 Географическое положение: Трехгорный
|
Вхожу во вкус |
От: 217.118.83*
|
|
до потери брелка сигнализацию програмировали?
И ты будешь волков на земле плодить,
И учить их вилять хвостом!
А то, что придется потом платить,
Так ведь это ж, пойми, потом!
|
|
|
|
|
|
|
|
| Re: Сигнализация Tomahawk x5 [сообщение #2021097 является ответом на сообщение #2020670] |
Чтв, 24 Октябрь 2013 22:45   |
Ivan84
 Сообщений: 176 Зарегистрирован: Июль 2011 Географическое положение: Трехгорный
|
Вхожу во вкус |
От: 217.118.83*
|
|
тогда нужно смотреть, приходит ли сигнал с замка зажигания на блок сигнализации и проверять на обрыв кнопку, с помощью которой заходишь в режим програмирования
И ты будешь волков на земле плодить,
И учить их вилять хвостом!
А то, что придется потом платить,
Так ведь это ж, пойми, потом!
[Обновления: Чтв, 24 Октябрь 2013 22:48] Известить модератора
|
|
|
|
|
|
| Re: Сигнализация Tomahawk x5 [сообщение #2021114 является ответом на сообщение #2021109] |
Чтв, 24 Октябрь 2013 23:06  |
 |
barik
 Сообщений: 156 Зарегистрирован: Июль 2005
|
Вхожу во вкус |
От: 88.205.161*
|
|
я скан кинул не про пин, а как аварийно снять с сигналки,правде если знаешь ,где кнопка овердрайв или по другому валет находится
Один удар кулаком в ухо заменяет три часа воспитательной беседы! ©
"Жизнь нужно прожить так, что бы там наверху "офигели" и сказали: "А ну-ка повтори"
|
|
|
|